関節リウマチに関連するILD, 肺線維症ではDMARDの選択肢が狭まる.
Bioを使用する人, MTX以外のcsDMARDでコントロール不良な場合の選択肢は現時点ではアバタセプトとアクテムラとなる.
(N Engl J Med 2020;383:958-68.)(Front. Med. 6:238. doi: 10.3389/fmed.2019.00238 )
これはあくまでもRAに対する治療であって, これらがILDに効くのかどうかは実際不明確である.
RA-ILD患者でABAを使用した263例の報告
(Rheumatology (Oxford). 2020 Dec 1;59(12):3906-3916.)
・複数施設において, HRCTで診断したILDを有するRA患者で, 1回以上のABAを使用した患者群をフォロー.
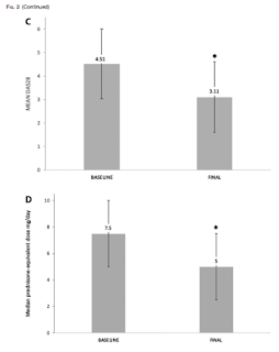
・12ヶ月後, フォロー終了時のパラメータを評価した(MMRC, FVC, DLCO, HRCT, DAS28ESR, ステロイド減量効果)
母集団:
治療, 経過
・ABA皮下注射が75%
CS併用が57%
・ABA中止したのが25%程度
理由は副作用が11.4%, RA増悪が10.26%, ILD増悪が1.14%
パラメータの変化
・ILDは大半の症例で横ばい. 増悪, 改善は同等.
----------------------------
ILDに対して改善効果や増悪予防効果があるかどうかは相変わらずわかりませんが,
少なくとも悪さはしなさそうではある.




