左眼は完全に光覚弁、右眼も耳側下方の1/4を残して他は光覚弁の状態。
眼球運動問題無し。対光反射は, 左の直接、間接対光反射消失。右は直接, 間接ともに反射あり。
眼底所見は左視神経乳頭浮腫あり。出血なし。右視神経乳頭問題無し。
他の脳神経所見、四肢麻痺無し。
顎跛行無し。頭痛なし。発熱、体重減少無し。首はちょっと痛いと言っているのみ。
---------------------------------------------------------
視神経炎? 虚血性視神経症?
視神経炎 (Optic neuritis) (The Neurologist 2012;18:23–31)
両側性, 片側性の視神経炎, それに伴う一過性の視覚障害を特徴とする疾患.
多発性硬化症の15-20%で認める所見
発症年齢は18-45歳台と若く, 特に30-35yrで多い. 女性>男性.
類似した病態にNA-AION; Non-arteritic anterior ischemic optic neuropathyがあり,
視神経炎は若年に多い有痛性の視覚障害で, 視覚予後も良好な一方,
NA-AIONは高齢者に多い無痛性の視覚障害で, 予後も悪い傾向にある(後述)
視神経炎に対するステロイドを評価したRCT (NEJM 1992;326:581-588)
457例の急性視神経炎患者のDB-RCT
PSL 1mg/kg/d 14日間投与群
mPSL 1g/d 3日 + PSL 1mg/kg/d 11日間投与群
Placebo 14日間投与群 に割り付け, 6ヶ月フォロー.
患者は18-46歳, 片側性のON. 発症から8日以内の患者群. 77%が女性, 平均年齢 32.0±6.7y,
母集団の症状頻度;
症状
|
頻度
|
眼痛
|
92%
|
乳頭浮腫
|
35%
|
MS合併
|
6%
|
視力; 20/40以上
|
162/457
|
視力; 20/50-20/190
|
129
|
視力; 20/200以下
|
166
|
アウトカム;
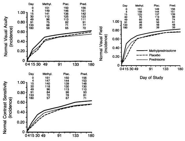
発症早期 4-15日では, mPSLパルス群が最も視力予後は良好だが, 長期予後は3者有意差減少してゆく.
>> パルスでは治癒速度は速くなるが, 長期予後は変わらない可能性. また, 経口PSLの利点は無し.
再発率はPSL経口内服群が有意に高くなり, 視神経炎に対するPSL内服は推奨されない.投与するならばmPSLパルスだが、利点もそこまで大きくないと判断可能.
各群の視力予後; Placeboでも改善する患者は多い.
視神経炎389名の15年フォローでは,
MSを併発したのは50%[44-56]と半数.
特にBaselineに単純MRIで病変(+)群では72%[63-81]と高く, MRI所見(-)群では25%[18-32]と低い. (Arch Neurol. 2008 June ; 65(6): 727–732.)


